주파수 영역 분석은 고전 제어의 방식으로 주파수 영역 (Frequency domain)에서 상태 함수 (Transfer function)를 이용하여 시스템을 표현하고 분석하는 방법입니다.
1. Laplace Transform
라플라스 변형은 시간 (t)를 복소수 (s = sigma + jw) 평면으로 바꿔주는 방법입니다.
$$ \mathcal{L}[f(t)] = F(s) = \int_0^{\infty}f(t)e^{-st}dt $$
$$ t \rightarrow s = \sigma + jw $$
*반대로 Inverse Laplace Transform (ILT)는 복소수 영역을 시간으로 바꿔주는 방법입니다.
$$ \mathcal{L}^{-1}[F(s)] = \frac{1}{2j\pi} \int_{\sigma - j\infty}^{\sigma + j\infty}F(s)e^{st}ds = f(t)u(t) $$ $$ Where \ u(t) = \begin{cases}{u(t)=1}&{t>0}\\{u(t)=0}&{t<0} \end{cases} $$
라플라스 변형을 사용하는 이유는 우리가 input과 output의 관계를 시간의 영역에서 관찰하기 위해서는 Convolution계산을 항상 필요로 합니다. 그러나 라플라스 변형을 통해서 Input과 Output의 관계 표현을 곱으로 쉽게 표현이 가능해집니다.

여기서 더 나아가서 시스템을 구성하는 블록이 많아져도 단순하게 곱으로 표현을 할수있기 때문에 아래와 같이 간결하게 표현이 가능해집니다.

2. Transfer function (전달함수)
그렇다면 전달함수가 의미하는 것은 무엇일까요.
전달 함수는 출력과 입력 간의 비율을 의미합니다. 위에서 보았던 구성도에서 전달 함수를 구하면 아래와 같이 각각 표현할 수 있습니다.

3. 전달 함수 예제 (Examples of Transfer function)
3-1. Transfer function example for a mechanical system (System with mass, spring, damper)

대표적인 질량, 스프링, 댐퍼 시스템이 존재하는 기계 시스템에서 전달 함수를 구해보고 전달 함수를 이용하여 시스템의 신호를 matlab을 통해서 결과를 관찰해보겠습니다.
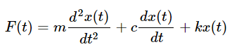
1) 먼저 해당 시스템의 시간영역에서의 상미분 (Odinary differential) 방정식을 구합니다. 여기서 입력은 시스템에 가해지는 힘이 되며 출력은 시스템의 위치 변화 (변위)가 됩니다.

| m (kg) | mass - 질량 | k (N/m) | spring constant (stiffness) - 스프링 상수 |
| c (Ns/m) | damping coefficient - 댐핑 계수 | F (N) | external force acting on the body (input) - 계에 가해지는 외력 |
| x (m) | displacement of the body (output) - 계의 위치 변화 (변위) |
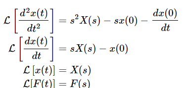
2) 시간 영역 (t)에서 표현된 시스템의 상미분 방정식을 주파수 영역 (s)로 라플라스 변환을 통해서 바꿔줍니다. 그러기 위해서는 1, 2차 미분 방정식의 라플라스 변환과 관련된 아래의 식을 이용해줍니다.

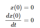
추가적으로 시스템의 초기 조건 (initial condition)을 적용해줍니다. 시스템의 초기 위치와 속도에 대해 적용하여서 식을 간단하게 만듭니다.

초기 조건을 통해서 라플라스 변환된 식은 아래와 같습니다.

여기서 입력 (F(s))과 출력 (X(s))와 관계식인 전달 함수 (H(s))로 표현하게 되면 최종적으로 전달 함수를 구할 수 있게 됩니다.

3) 우리가 구한 전달함수를 MATLAB을 통해서 신호를 살펴봅시다.
m = 2; % mass = 2 (kg)
c = 1; % damping coefficient = 1 (Ns/m)
k = 2; % spring constant (stiffness) = 2 (N/m)
t = 0:0.01:25; % time (s) = 0 ~ 25s
s = tf('s'); % define continuous time transfer function root 's'
H_s = 1/(m*s^2 + c*s + k); % Transfer function
result = stepplot(H_s,t); % system response at step input

이번에는 damping coefficient를 2로 바꿔서 (c=1에서 c=2) 결과를 봅시다.
m = 2; % mass = 2 (kg)
c_1 = 1; % damping coefficient = 1 (Ns/m)
c_2 = 2;
k = 2; % spring constant (stiffness) = 2 (N/m)
t = 0:0.01:25; % time (s) = 0 ~ 25s
s = tf('s'); % define continuous time transfer function root 's'
H_s_1 = 1/(m*s^2 + c_1*s + k); % Transfer function
H_s_2 = 1/(m*s^2 + c_2*s + k); % Transfer function
result1 = step(H_s_1,t); % system response at step input
result2 = step(H_s_2,t);
plot(t,result1)
hold on
plot(t,result2)
hold off
legend('c=1','c=2')
xlabel('time (s)')
ylabel('displacement (m)')

damping coefficient의 값이 2가 되었을때 시스템이 좀 더 빠르게 수렴하는 것을 관찰할 수가 있었습니다.
3-2. Transfer function example for an electrical system
이번에는 저항과 인덕터가 포함된 RL 회로 예제를 다뤄보겠습니다. 입력은 회로에 걸어주는 전압이며 출력은 회로의 전류입니다.

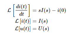
1) 먼저 회로를 표현하는 상미분 (Odinary differential) 방정식을 표현합니다.

| R [ohm] | resistance - 저항 | L [H] | inductance - 인덕턴스 |
| u [V] | The voltage drop across the circuit - 전압 강하 | i [A] | electrical current through the circuit - 회로에 흐르는 전류 |
2) 위에서 표현한 상미분 방정식으로 위에 있던 기계 시스템의 예제와 동일하게 초기조건과 라플라스 변환식을 통해서 주파수 영역에서 표현된 식으로 나타내어 봅니다.


변환된 식은 아래와 같으며 전달함수 (U(s))는 출력 (I(s)) 나누기 입력 (U(s))로 표현할 수 있습니다.


3) MATLAB을 통해서 시스템의 반응을 살펴보겠습니다.
E = 12; % voltage [V]
R = 0.3; % Resistance [Ohm]
L = 0.04; % Inductor [H]
t = 0:0.01:2;
s = tf('s');
H_s = 1/(L*s + R);
opt = stepDataOptions('stepAmplitude',E);
result = step(H_s,t,opt);
figure()
plot(t, result)
xlabel('time [s]')
ylabel('current [A]')
grid on;

4. 전달함수의 특징
1) 표현 영역: 라플라스 변환 (s) 또는 z 변환 (z)의 영역에서 정의됨
2) 표현식: 전달 함수는 유리함수 형태이며 분모, 분자, 다항식의 각 계수가 실수이다.
3) 극점 (Pole)과 영점 (Zero): 각각 분모, 분자 다항식의 근이며 특히 극점의 위치는 시스템의 응답 특성을 결정하는 중요 요소이다.
4) 특성방정식 (Characteristic equation): 전달 함수의 분모를 0으로 하면 이것이 곧 특성 방정식이며 시스템 고유의 특성을 보여줌.
5) 단위가 없는 무차원량: 전압 이득, 전류이득..
6) 전달 함수 분모의 최고 차수: 동적 시스템의 동특성의 복잡성 정도를 나타냄
7) 한계: 전달함수를 이용하기 위해서 초기 조건 = 0 이 가정되어야 함. 또한 다루는 시스템이 선형 시불변 시스템 (LTI)이어야 하며 '시변 시스템'이나 '비선형 시스템'은 전달 함수로 표현이 불가능함.
*LTI 시스템이란: 선형성 (Linearity)와 시불변 (Time-invariant)을 합친 의미로 중첩의 원리가 성립 (선형)하며 연속 시간의 입력신호가 다른 여러 시간대에 시스템에 입력되더라도 동일한 결과를 출력하는 시스템을 의미함.
'전공 관련 (Major) > 제어 (Control)' 카테고리의 다른 글
| *Runge-Kutta method (설명, 예제) (0) | 2022.09.09 |
|---|---|
| 제어공학 - 상태천이행렬 (State Transition Matrix) (2) | 2022.08.16 |
| 제어공학 - 상태 공간 (State-space) (0) | 2022.08.16 |
| 제어공학 - 제어 시스템 구성요소 (0) | 2022.08.11 |
| 제어공학 (Control Engineering) (0) | 2022.08.09 |
댓글